针灸对骨折家兔微量元素的影响
作者:张 俐 移 平 吴炳煌 张安桢
单位:福建中医学院骨伤研究所 福建 福州 350003
关键词:针灸;骨折家兔;微量元素
中国中医骨伤科990501 摘要 纯种新西兰白兔52只,造成3mm骨缺损的标准骨折模型,术后不采用任何外固定,造模后次日即开始针灸治疗。采用电感耦合等离子体发射光谱法测试,结果血清及骨痂Zn、Cu、Mn、Fe、Mg增加显著。说明针灸可以促进微量元素的吸收,提高其生物利用率以促进骨折愈合。
中图分类法:R246.2;R589.9 文献标识码:A 文章编号:1005-0205(1999)05-0001-04
Trace-element Study on Fracture Treatment by Acupuncture & Moxibustion
, 百拇医药
Zhang Li,Yi Ping,Wu Binhuang,et al
Institute of Onthopedics & Traumatology,Fujian University of TCM (350003 Fuzhou)
ABSTRACT Experiment adopted 52 Pure Species New-Zealand Rabbits.Imposed a 3mm bone-deficiency of standard fracture model at the lower 1/3 part of both radial bone with bone grip forceps under operation eye-view.Trace-element Study on fractrue treatment by Acupuncture & Moxibustion shows that Acu-moxi can promote traceelement reabsorption.
, 百拇医药
KEY WRODS Trace-element Study Fracture Treatment Acupuncture & Moxibustion
微量元素在骨折愈合过程中的重要作用,越来越受到人们的重视,许多人发现,在骨折愈合过程中,机体体内及骨痂局部的微量元素均有明显的变化,[1]骨折36小时后Zn、Cu、Mn、Fe等元素在血清中的含量显著低于骨折后10月的血清自身对照组含量,[2]但是微量元素Zn、Cu、Mn、Fe等在骨的形成、生长、发育及再生中均有重要的作用,缺乏这些元素可使骨骼发育障碍,甚至发生畸形,[3]在骨折患者则可影响骨痂的形成。因此,有人采用补充微量元素的方法以促进骨折愈合并取得了良好的疗效。[4,5]
材料与方法
1 实验采用纯种新西兰白兔52只,随机分为对照组、针刺组和针灸组,均在手术直视下用咬骨钳将双侧桡骨中下1/3处造成3mm骨缺损的标准骨折模型,术后不采用任何外固定。造模后次日即开始针刺、针灸治疗,针刺组取穴:足三里、太溪、曲池、合谷;针灸组取穴:大杼、肾俞、阿是穴,均为双侧交替使用,对照组不使用任何治疗。分别在术后第7、14、21、28天心脏取血后处死取材。
, 百拇医药
处死前将家兔仰卧固定于兔架上,用一次性针筒从心脏取血35m1,分离血清,其方法如下:将血液于37℃水浴箱中静置2小时,然后在离心机中以1500转/分离心5min后分离血清。血清保存于低温冰箱,集中后送检各项指标。
采用断颈法处死,处死后以骨痂处为中心,包括上下骨端各0.5cm取出标本,仔细剔除其上的软组织,但注意保留骨膜及骨痂。一侧桡骨做骨痂微量元素检测。
2 采用电感耦合等离子体发射光谱法(以下简称ICP-AES)。
本实验采用日本岛津公司生产的ICPQ-100
型电感耦合等离子发射光谱仪(ICP)测定血清及骨痂溶液(制备方法见后)中的Mg、Cu、Zn、Fe、Mn等元素。测定时入射功率为1.6KW;反射功率<5W。惰性气体采用氩气,流量如下:冷却气10.5i.min-1,等离子气1.5i.min-1,载气1.05L.min-1。观测高度在负载线圈上方15mm处。
, 百拇医药
各种元素的分析线波长及检出极限。Mg波长279.079,检出限0.0002;Fe波长259.940,检出限0.0027;Mn波长257.610,检出限0.0012;Cu波长324.754,检出限0.0027;Zn波长202.549,检出限0.0040。
3 试剂
本实验所用HC1、HNO3均选用优级纯,H2O2用分析纯,水为蒸馏水,经离子交换后使用。测定标准溶液按国家标准GB602-88规定配制,按样品实验含量稀释一定倍数配制标准工作曲线。
4 分析步骤
4.1 血清用ICP直接测定Mg、Mn、Fe、Cu、Zn。
4.2 骨痂首先准确称取一定量的(0.05~1g)样品,视样品多少加入2~5mlHNO3,微热煮沸至样品溶解,再加入3~10滴H2O2,继续煮至试液澄清,冷却后将其移入适当的容量瓶,定容至刻度(试液中样品浓度为2~10mg.ml-1)。此溶液供ICP直接测定Mg、Fe、Mn、Cu、Zn。
, http://www.100md.com
结果
1 骨痂微量元素的含量(表1)。
表1 骨痂微量元素测定结果 (单位:ug.g-1) 项目
组别
1周
2周
3周
4周
Zn
A
143.776±2.517
, http://www.100md.com
151.500±10.017
138.200±13.424*
152.060±34.782
B
148.667±12.897
170.250±4.193*
145.250±12.533*
155.000±14.440
C
144.000±11.358
, 百拇医药
149.500±16.299
95.375±37.296
151.25±37.044
Cu
A
15.633±2.223
15.075±0.896
17.200±2.601*
14.280±2.032
B
15.433±1.457
, http://www.100md.com
15.200±1.587
14.600±1.944
14.100±2.367
C
13.633±1.523
14.100±1.523
10.475±3.614
14.400±2.201
Mn
A
6.733±0.208
6.650±0.238
, http://www.100md.com
6.340±0.635**
6.600±0.485
B
6.733±0.681
6.575±0.126
5.100±0.739
7.180±0.396*
C
6.567±0.493
6.575±0.785
4.500±0.685
, http://www.100md.com
6.200±0.529
Fe
A
39.667±7.430
101.800±20.548**
36.480±8.988*
29.520±11.467
B
53.800±14.402
54.350±16.355
23.800±3.117*
, 百拇医药
32.740±6.750
C
32.367±8.686
49.525±9.902
21.788±6.155
23.400±7.234
注:*P<0.05,**P<0.01(均为与对照组相比)
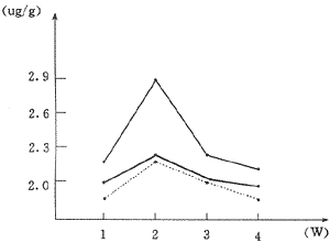
1.1 骨痂锌含量三组均在第2周出现高峰,在第3周出现低谷(图1见封三),其中第2周艾灸组、第3周针刺组与对照组比较有显著差异(P<0.05)。
图1 骨痂锌含量比较
, 百拇医药
1.2 骨痂铜含量在第3周针刺组明显高于对照组(P<0.05)其中针刺组在第3周出现高峰,对照组含量普遍较低(图2见封三)。
图2 骨痂铜含量比较
1.3 骨痂锰含量在第3周出现低谷(图3见封三)。其中针刺组在第3周、艾灸组在第四周均明显高于对照组(P<0.05)。
图3 骨痂锰含量比较
1.4 骨痂铁含量三组均在第2周出现高峰(图4见封三)。针刺组在第2、3周,艾灸组在第3周含量显著高于对照组(P<0.05)。
, 百拇医药
图4 骨痂铁含量比较
2 血清微量元素的测定结果(表2)。
表2 血清微量元素的测定结果 (单位ug.ml-1) 项目
组别
1周
2周
3周
4周
Zn
A
2.023±0.494
2.2360±0.219
, 百拇医药
2.028±0.218
1.996±0.175
B
2.130±0.171
2.896±0.423*
2.205±0.091
2.082±0.324
C
1.897±0.117
2.193±0.397
2.015±0.034
, 百拇医药
1.830±0.345
Cu
A
0.947±0.290
1.096±0.126*
1.116±0.146
1.174±0.333
B
0.847±0.283
1.236±0.215*
1.175±0.396
, http://www.100md.com
0.868±0.259
C
0.823±0.129
0.815±0.186
1.053±0.038
0.745±0.164
Mn
A
0.050±0.005**
0.041±0.016
0.048±0.007
, 百拇医药 0.060±0.014
B
0.049±0.007*
0.045±0.011
0.055±0.017
0.070±0.020
C
0.033±0.002
0.037±0.006
0.039±0.010
0.553±0.007
, 百拇医药 Fe
A
2.290±1.065
3.884±2.285
3.148±0.616
2.868±0.481
B
2.967±0.621
3.548±0.964
3.240±0.155
3.662±1.334
C
, 百拇医药
2.467±0.363
3.390±0.453
3.078±0.357
2.755±0.589
注:*P<0.05,**P<0.01(均为与对照组相比)
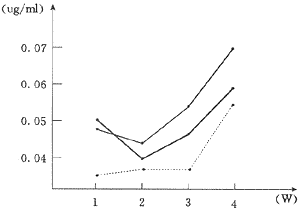
2.1 血清锌同骨痂含量相似,在第2周三组均出现高峰(图5见封三),4周中治疗组含量均高于对照组,其中艾灸组在第2周与对照组比较有明显差异(P<0.05)。
图5 血清锌含量变化比较
2.2 血清铜含量在骨折愈合过程中出现一次高峰,治疗组均在第2周出现,其含量显著高于对照组(P<0.05),而对照组高峰则出现在第3周(图6见封三)。
, 百拇医药
图6 血清铜含量变化比较
2.3 血清锰含量三组均呈逐步上升的趋势(图7见封三),在第1周治疗组的锰含量就明显高于对照组(P<0.05)。
图7 血清锰含量变化比较
2.4 血清铁含量的高峰三组均在第2周出现,三组走势基本相同(图8见封三),组间含量中无明显差异,但治疗组各周均大于对照组。
图8 血清铁含量变化比较
综上所述,虽然针刺组,艾灸组与对照组的骨痂和血清微量元素含量比较,有显著性差异的不多,但Zn、Cu、Mn、Fe等元素治疗组含量曲线走势均高于对照组,而治疗组之间则无明显差异,说明针刺和艾灸均可以增加Zn、Cu、Mn、Fe在骨痂和血清中的含量,而出现这种情况的原因可能实验例数太小所致。
, 百拇医药
讨论
针灸指采用针具刺激、或用艾绒等药物烧灼、熏熨人体的一定部位,运用各种方法激发经气,以调整人体功能,治疗疾病的方法。[6]它是我国古代人民发明的一种简便实用、行之有效的疗法,且经过几千年的完善和发展,已经运用于临床各科并取得良好疗效。虽然在骨折治疗中使用针灸,在古代医籍尚未见到明确记载,但现代有人将其应用于骨折的临床治疗并取得较好疗效。但由于其作用机理尚不明确,不能更有效的指导临床应用,故本课题通过系列实验研究以探讨其作用机理。
1 针灸的穴位选择
1.1 艾灸组的选穴
《难经.四十五难》云:“骨会大杼”,即大杼为骨之会穴。根据经穴理论,它与骨的生理功能有密切的关系,是骨气聚会之所,主治一切骨病,[7]灸之可接骨续断、强筋壮骨且补虚生髓。其次,大杼是手足太阳、少阳经的交会穴,还是督脉的别络,根据经脉循行和分布,大杼还可以治疗肩臂病变,如疼痛肿胀、经筋拘急等症。
, 百拇医药
肾俞属足太阳经,是肾的背俞穴(《针灸甲乙经》),与肾脏有内外相应的联系,是肾经经气输注于背部之穴。根据经穴理论,肾俞不但能够治疗和肾有关的疾病,而且也可以治疗与其相关的五官九窍、皮肉筋骨的疾病。[8]肾主骨生髓、又主藏精,是作强之官,而髓藏骨中充养骨骼,骨得髓养才能生长坚强,是骨骼再生所不可缺少的因素,故肾精的充沛和骨骼的坚固有密切关系,因此灸肾俞可益肾生精、补骨生髓、兼以益气生血。
阿是穴指病所,即以病为穴,如《素问.骨空论》云:“切之坚痛,如筋者灸之”,本实验的阿是穴即指桡骨中、下1/3骨折处。灸之可以疏经通络、活血化瘀,可以消除局部疼痛肿胀,促进局部血液循环,加快血肿吸收,修复软组织损伤而促进骨折愈合。
综上所述,大杼、肾俞、阿是穴配合作用治疗骨折,其治疗原则为补肾壮骨生髓、活血祛瘀生新,与骨折后病理改变基本相对应,故可以接骨续断、强筋壮骨、祛瘀生新而加快骨愈合。
, 百拇医药
1.2 针刺组的选穴
曲池、合谷分别为手阳明大肠经之合穴和原穴(《灵枢.九针十二原》),其治疗范围广泛,其中循经取穴可以治疗本经通路上的疾病。本实验所选骨折模型为桡骨中、下1/3骨折,正处于手阳明经的循行通路上,故以邻近取穴法取桡骨上下的合谷、曲池,针之可以疏通路,活血化瘀,从而为骨折修复提供良好的条件。正如《圣济总录.折伤门》云:“若伤折,骨动经络,血行之道不得宣通,瘀积不散,则为痛,治宜除去恶瘀,使气血流通可以复完也”。
太溪为足少阴肾经之原穴,是肾脏真气输注的所在。肾为水火之脏,内藏元阴之阳,是人体生命活动的根本,也是人体新陈代谢的根本,故取本穴可补人之元气。且肾藏精主骨生髓,肾精充足则骨髓充盈、骨骼强壮,骨折后使用本穴正是取其补肾益精、壮骨强肠、续断生新的功能。
足三里为足阳明胃经之合穴,是强壮要穴,又是胃之下合穴,《灵枢.邪气脏腑病形》云:“合治内府”。故足三里具有健脾益胃、益气生血、增补元气、健壮体魄的作用。骨折后久卧病床,脾胃失调,气血不生,取本穴则可以纠正以上病理变化,而且还可以提高机体素质,为骨折快速愈合提供良好条件。
, 百拇医药
综上所述,太溪、足三里、曲池、合谷配合使用治疗骨折,正是取其活血化瘀、补肾生髓、健脾益胃、益气补血的作用以续断接骨、祛瘀生新,从而促进骨折愈合。
2 针灸对骨折家兔微量元素的影响
锌在骨折愈合中作用最为重要。首先,锌参与构成多种酶,在体内参与蛋白、核酸的合成和代谢,[9]例如在细胞的增殖和分化中,DNA复制所需要的DNA聚合酶即是含锌酶。在骨折愈合过程中,骨生成细胞等需要大量分化为成骨细胞、成纤维细胞、成软骨细胞等。实验证明,骨折后体内锌重新分布,血清锌大量被肝转移到创面以利创伤愈合。[10]其次,锌是一种骨盐形成的调节离子能够促进骨的完全钙化。[11]
铜是胶原纤维和弹性蛋白进行共价交联所必须催化酶的构成部分,若铜缺乏,则骨生成时所需的有机质结构和结构的稳定性均无法生成。其次,含铜金属酶在线粒体产生能量的生物氧化系统的正常进行,保证细胞的能量供给方面也有重要作用。
, 百拇医药
骨折愈合需要合成大量的胶原蛋白和氨基多糖,而锰是二者合成必不可少的因素。[12]胶原蛋白是一种糖蛋白,需要在RNA的转录和支持下,在成骨细胞内完成,而锰是RNA聚合酶所不可缺少的。
铁在体内含量较多,是造血的主要原料,有供氧的功能,主要存在于肌红蛋白和血红蛋白内。在组织修复过程中,合成此二种蛋白即需要大量的铁。同时铁含量增高也能给骨折局部提供充分氧以促进骨折愈合。
机体对微量元素的摄入主要是通过食物和饮水。因此有人在骨折的治疗中使用微量元素后,发现血清和骨痂的微量元素含量均有升高,并且骨折愈合的速度也有所加快。[5,13]但是本实验并没有在动物饲料中特别添加微量元素,却发现针刺和艾灸组比对照组动物血清和骨痂微量元素含量均有不同程度增高。可能主要有以下几个原因:
第一,针灸能够提高微量元素的生物利用度:日常生活的食物及饮水中并不缺乏微量元素,但它们能被生物利用的程度称为生物利用度,它取决于这种金属存在的形态和生物体本身的一些因素,其中后者是关键。例如生物体能放出配体与某些微量元素结合成可以进入体内的络合物、有些元素通过细胞膜时需要载体等。此外体液PH值、离子强度、共存物质等因素也对生物利用度有明显影响。而针灸则可能通过调节作用,使以上各种因素达到最佳水平。使生物体能够充分摄取食物和饮水中的微量元素而提高骨痂和血清微量元素含量。
, 百拇医药
第二,针灸能够促进消化吸收功能:针灸对消化系统的良性调节作用已为大多数人所认同,它可以调节脾胃功能,促进消化液分泌,增加饮食[14]这样则增加了摄入体内微量元素的总量。
第三,针灸可能激活了微量元素固定在酶的部位,促进了酶与底物的结合,从而增强了酶的催化效率,使骨折愈合能够快速进行。
项目基金:国家中医药管理局科研基金课题 编号:95109710
作者简介:张俐(1967-),女(汉族),福建省漳州市人,福建中医学院副教授,医学博士。
参考文献
[1] 沙因.骨折愈合过程中金属元素含量的变化.微量元素与健康研究,1994,11(1):1
, http://www.100md.com
[2] 王智兴.骨折患者血清微量元素变化.中华骨科杂志,1993,13(1):58
[3] Asling CW,et al.The Influence of trace elaments on the sdeiltom.Clin Orthop,1963,27:213
[4] Battis tone Gc,et al.Zinc and bone healing oral surg,1972,34:542
[5] 吕德成.微量元素对家兔骨折愈合影响的实验研究.中华骨科杂志,1992,12(4):282
[6] 奚永江.针法灸法学.上海科学技术出版社,1990,1
[7] 李世珍.常用腧穴临床发挥.人民卫生出版社,1985,379
, 百拇医药
[8] 杨甲三.腧穴学.上海科学技术出版社,1985,74
[9] Hsu JM Biochemistry and metabolism of zinc,In karcioglu zA,et al.(Ed) zinc and Copper in Medicine Charies C Illinois,1980,66
[10] Tengrup I,et al.Influence of zinc on synthesis and the accumulation of collagen in early granulation.Sury Gynecol obstet,1981,152:323
[11] Calhoun NR.The role of zinc in bone metabolism,Clin orthop Rel.Res,1974,103:212
[12] Grant ME.Prockop DJ.The biosyuthesis of collagen.New Engl J Med,1972,286:242
[13] 刘献祥.麦饭石对骨折愈合作用的骨痂强度及微量元素研究.福建中医学院学报,1994,4(2):25
[14] 张笑平.针刺对消化系统机能的影响.辽宁中医杂志,1981,(3):37
收稿日期:1998-10-28, 百拇医药
单位:福建中医学院骨伤研究所 福建 福州 350003
关键词:针灸;骨折家兔;微量元素
中国中医骨伤科990501 摘要 纯种新西兰白兔52只,造成3mm骨缺损的标准骨折模型,术后不采用任何外固定,造模后次日即开始针灸治疗。采用电感耦合等离子体发射光谱法测试,结果血清及骨痂Zn、Cu、Mn、Fe、Mg增加显著。说明针灸可以促进微量元素的吸收,提高其生物利用率以促进骨折愈合。
中图分类法:R246.2;R589.9 文献标识码:A 文章编号:1005-0205(1999)05-0001-04
Trace-element Study on Fracture Treatment by Acupuncture & Moxibustion
, 百拇医药
Zhang Li,Yi Ping,Wu Binhuang,et al
Institute of Onthopedics & Traumatology,Fujian University of TCM (350003 Fuzhou)
ABSTRACT Experiment adopted 52 Pure Species New-Zealand Rabbits.Imposed a 3mm bone-deficiency of standard fracture model at the lower 1/3 part of both radial bone with bone grip forceps under operation eye-view.Trace-element Study on fractrue treatment by Acupuncture & Moxibustion shows that Acu-moxi can promote traceelement reabsorption.
, 百拇医药
KEY WRODS Trace-element Study Fracture Treatment Acupuncture & Moxibustion
微量元素在骨折愈合过程中的重要作用,越来越受到人们的重视,许多人发现,在骨折愈合过程中,机体体内及骨痂局部的微量元素均有明显的变化,[1]骨折36小时后Zn、Cu、Mn、Fe等元素在血清中的含量显著低于骨折后10月的血清自身对照组含量,[2]但是微量元素Zn、Cu、Mn、Fe等在骨的形成、生长、发育及再生中均有重要的作用,缺乏这些元素可使骨骼发育障碍,甚至发生畸形,[3]在骨折患者则可影响骨痂的形成。因此,有人采用补充微量元素的方法以促进骨折愈合并取得了良好的疗效。[4,5]
材料与方法
1 实验采用纯种新西兰白兔52只,随机分为对照组、针刺组和针灸组,均在手术直视下用咬骨钳将双侧桡骨中下1/3处造成3mm骨缺损的标准骨折模型,术后不采用任何外固定。造模后次日即开始针刺、针灸治疗,针刺组取穴:足三里、太溪、曲池、合谷;针灸组取穴:大杼、肾俞、阿是穴,均为双侧交替使用,对照组不使用任何治疗。分别在术后第7、14、21、28天心脏取血后处死取材。
, 百拇医药
处死前将家兔仰卧固定于兔架上,用一次性针筒从心脏取血35m1,分离血清,其方法如下:将血液于37℃水浴箱中静置2小时,然后在离心机中以1500转/分离心5min后分离血清。血清保存于低温冰箱,集中后送检各项指标。
采用断颈法处死,处死后以骨痂处为中心,包括上下骨端各0.5cm取出标本,仔细剔除其上的软组织,但注意保留骨膜及骨痂。一侧桡骨做骨痂微量元素检测。
2 采用电感耦合等离子体发射光谱法(以下简称ICP-AES)。
本实验采用日本岛津公司生产的ICPQ-100
型电感耦合等离子发射光谱仪(ICP)测定血清及骨痂溶液(制备方法见后)中的Mg、Cu、Zn、Fe、Mn等元素。测定时入射功率为1.6KW;反射功率<5W。惰性气体采用氩气,流量如下:冷却气10.5i.min-1,等离子气1.5i.min-1,载气1.05L.min-1。观测高度在负载线圈上方15mm处。
, 百拇医药
各种元素的分析线波长及检出极限。Mg波长279.079,检出限0.0002;Fe波长259.940,检出限0.0027;Mn波长257.610,检出限0.0012;Cu波长324.754,检出限0.0027;Zn波长202.549,检出限0.0040。
3 试剂
本实验所用HC1、HNO3均选用优级纯,H2O2用分析纯,水为蒸馏水,经离子交换后使用。测定标准溶液按国家标准GB602-88规定配制,按样品实验含量稀释一定倍数配制标准工作曲线。
4 分析步骤
4.1 血清用ICP直接测定Mg、Mn、Fe、Cu、Zn。
4.2 骨痂首先准确称取一定量的(0.05~1g)样品,视样品多少加入2~5mlHNO3,微热煮沸至样品溶解,再加入3~10滴H2O2,继续煮至试液澄清,冷却后将其移入适当的容量瓶,定容至刻度(试液中样品浓度为2~10mg.ml-1)。此溶液供ICP直接测定Mg、Fe、Mn、Cu、Zn。
, http://www.100md.com
结果
1 骨痂微量元素的含量(表1)。
表1 骨痂微量元素测定结果 (单位:ug.g-1) 项目
组别
1周
2周
3周
4周
Zn
A
143.776±2.517
, http://www.100md.com
151.500±10.017
138.200±13.424*
152.060±34.782
B
148.667±12.897
170.250±4.193*
145.250±12.533*
155.000±14.440
C
144.000±11.358
, 百拇医药
149.500±16.299
95.375±37.296
151.25±37.044
Cu
A
15.633±2.223
15.075±0.896
17.200±2.601*
14.280±2.032
B
15.433±1.457
, http://www.100md.com
15.200±1.587
14.600±1.944
14.100±2.367
C
13.633±1.523
14.100±1.523
10.475±3.614
14.400±2.201
Mn
A
6.733±0.208
6.650±0.238
, http://www.100md.com
6.340±0.635**
6.600±0.485
B
6.733±0.681
6.575±0.126
5.100±0.739
7.180±0.396*
C
6.567±0.493
6.575±0.785
4.500±0.685
, http://www.100md.com
6.200±0.529
Fe
A
39.667±7.430
101.800±20.548**
36.480±8.988*
29.520±11.467
B
53.800±14.402
54.350±16.355
23.800±3.117*
, 百拇医药
32.740±6.750
C
32.367±8.686
49.525±9.902
21.788±6.155
23.400±7.234
注:*P<0.05,**P<0.01(均为与对照组相比)
1.1 骨痂锌含量三组均在第2周出现高峰,在第3周出现低谷(图1见封三),其中第2周艾灸组、第3周针刺组与对照组比较有显著差异(P<0.05)。
图1 骨痂锌含量比较
, 百拇医药
1.2 骨痂铜含量在第3周针刺组明显高于对照组(P<0.05)其中针刺组在第3周出现高峰,对照组含量普遍较低(图2见封三)。
图2 骨痂铜含量比较
1.3 骨痂锰含量在第3周出现低谷(图3见封三)。其中针刺组在第3周、艾灸组在第四周均明显高于对照组(P<0.05)。
图3 骨痂锰含量比较
1.4 骨痂铁含量三组均在第2周出现高峰(图4见封三)。针刺组在第2、3周,艾灸组在第3周含量显著高于对照组(P<0.05)。
, 百拇医药
图4 骨痂铁含量比较
2 血清微量元素的测定结果(表2)。
表2 血清微量元素的测定结果 (单位ug.ml-1) 项目
组别
1周
2周
3周
4周
Zn
A
2.023±0.494
2.2360±0.219
, 百拇医药
2.028±0.218
1.996±0.175
B
2.130±0.171
2.896±0.423*
2.205±0.091
2.082±0.324
C
1.897±0.117
2.193±0.397
2.015±0.034
, 百拇医药
1.830±0.345
Cu
A
0.947±0.290
1.096±0.126*
1.116±0.146
1.174±0.333
B
0.847±0.283
1.236±0.215*
1.175±0.396
, http://www.100md.com
0.868±0.259
C
0.823±0.129
0.815±0.186
1.053±0.038
0.745±0.164
Mn
A
0.050±0.005**
0.041±0.016
0.048±0.007
, 百拇医药 0.060±0.014
B
0.049±0.007*
0.045±0.011
0.055±0.017
0.070±0.020
C
0.033±0.002
0.037±0.006
0.039±0.010
0.553±0.007
, 百拇医药 Fe
A
2.290±1.065
3.884±2.285
3.148±0.616
2.868±0.481
B
2.967±0.621
3.548±0.964
3.240±0.155
3.662±1.334
C
, 百拇医药
2.467±0.363
3.390±0.453
3.078±0.357
2.755±0.589
注:*P<0.05,**P<0.01(均为与对照组相比)
2.1 血清锌同骨痂含量相似,在第2周三组均出现高峰(图5见封三),4周中治疗组含量均高于对照组,其中艾灸组在第2周与对照组比较有明显差异(P<0.05)。
图5 血清锌含量变化比较
2.2 血清铜含量在骨折愈合过程中出现一次高峰,治疗组均在第2周出现,其含量显著高于对照组(P<0.05),而对照组高峰则出现在第3周(图6见封三)。
, 百拇医药
图6 血清铜含量变化比较
2.3 血清锰含量三组均呈逐步上升的趋势(图7见封三),在第1周治疗组的锰含量就明显高于对照组(P<0.05)。
图7 血清锰含量变化比较
2.4 血清铁含量的高峰三组均在第2周出现,三组走势基本相同(图8见封三),组间含量中无明显差异,但治疗组各周均大于对照组。
图8 血清铁含量变化比较
综上所述,虽然针刺组,艾灸组与对照组的骨痂和血清微量元素含量比较,有显著性差异的不多,但Zn、Cu、Mn、Fe等元素治疗组含量曲线走势均高于对照组,而治疗组之间则无明显差异,说明针刺和艾灸均可以增加Zn、Cu、Mn、Fe在骨痂和血清中的含量,而出现这种情况的原因可能实验例数太小所致。
, 百拇医药
讨论
针灸指采用针具刺激、或用艾绒等药物烧灼、熏熨人体的一定部位,运用各种方法激发经气,以调整人体功能,治疗疾病的方法。[6]它是我国古代人民发明的一种简便实用、行之有效的疗法,且经过几千年的完善和发展,已经运用于临床各科并取得良好疗效。虽然在骨折治疗中使用针灸,在古代医籍尚未见到明确记载,但现代有人将其应用于骨折的临床治疗并取得较好疗效。但由于其作用机理尚不明确,不能更有效的指导临床应用,故本课题通过系列实验研究以探讨其作用机理。
1 针灸的穴位选择
1.1 艾灸组的选穴
《难经.四十五难》云:“骨会大杼”,即大杼为骨之会穴。根据经穴理论,它与骨的生理功能有密切的关系,是骨气聚会之所,主治一切骨病,[7]灸之可接骨续断、强筋壮骨且补虚生髓。其次,大杼是手足太阳、少阳经的交会穴,还是督脉的别络,根据经脉循行和分布,大杼还可以治疗肩臂病变,如疼痛肿胀、经筋拘急等症。
, 百拇医药
肾俞属足太阳经,是肾的背俞穴(《针灸甲乙经》),与肾脏有内外相应的联系,是肾经经气输注于背部之穴。根据经穴理论,肾俞不但能够治疗和肾有关的疾病,而且也可以治疗与其相关的五官九窍、皮肉筋骨的疾病。[8]肾主骨生髓、又主藏精,是作强之官,而髓藏骨中充养骨骼,骨得髓养才能生长坚强,是骨骼再生所不可缺少的因素,故肾精的充沛和骨骼的坚固有密切关系,因此灸肾俞可益肾生精、补骨生髓、兼以益气生血。
阿是穴指病所,即以病为穴,如《素问.骨空论》云:“切之坚痛,如筋者灸之”,本实验的阿是穴即指桡骨中、下1/3骨折处。灸之可以疏经通络、活血化瘀,可以消除局部疼痛肿胀,促进局部血液循环,加快血肿吸收,修复软组织损伤而促进骨折愈合。
综上所述,大杼、肾俞、阿是穴配合作用治疗骨折,其治疗原则为补肾壮骨生髓、活血祛瘀生新,与骨折后病理改变基本相对应,故可以接骨续断、强筋壮骨、祛瘀生新而加快骨愈合。
, 百拇医药
1.2 针刺组的选穴
曲池、合谷分别为手阳明大肠经之合穴和原穴(《灵枢.九针十二原》),其治疗范围广泛,其中循经取穴可以治疗本经通路上的疾病。本实验所选骨折模型为桡骨中、下1/3骨折,正处于手阳明经的循行通路上,故以邻近取穴法取桡骨上下的合谷、曲池,针之可以疏通路,活血化瘀,从而为骨折修复提供良好的条件。正如《圣济总录.折伤门》云:“若伤折,骨动经络,血行之道不得宣通,瘀积不散,则为痛,治宜除去恶瘀,使气血流通可以复完也”。
太溪为足少阴肾经之原穴,是肾脏真气输注的所在。肾为水火之脏,内藏元阴之阳,是人体生命活动的根本,也是人体新陈代谢的根本,故取本穴可补人之元气。且肾藏精主骨生髓,肾精充足则骨髓充盈、骨骼强壮,骨折后使用本穴正是取其补肾益精、壮骨强肠、续断生新的功能。
足三里为足阳明胃经之合穴,是强壮要穴,又是胃之下合穴,《灵枢.邪气脏腑病形》云:“合治内府”。故足三里具有健脾益胃、益气生血、增补元气、健壮体魄的作用。骨折后久卧病床,脾胃失调,气血不生,取本穴则可以纠正以上病理变化,而且还可以提高机体素质,为骨折快速愈合提供良好条件。
, 百拇医药
综上所述,太溪、足三里、曲池、合谷配合使用治疗骨折,正是取其活血化瘀、补肾生髓、健脾益胃、益气补血的作用以续断接骨、祛瘀生新,从而促进骨折愈合。
2 针灸对骨折家兔微量元素的影响
锌在骨折愈合中作用最为重要。首先,锌参与构成多种酶,在体内参与蛋白、核酸的合成和代谢,[9]例如在细胞的增殖和分化中,DNA复制所需要的DNA聚合酶即是含锌酶。在骨折愈合过程中,骨生成细胞等需要大量分化为成骨细胞、成纤维细胞、成软骨细胞等。实验证明,骨折后体内锌重新分布,血清锌大量被肝转移到创面以利创伤愈合。[10]其次,锌是一种骨盐形成的调节离子能够促进骨的完全钙化。[11]
铜是胶原纤维和弹性蛋白进行共价交联所必须催化酶的构成部分,若铜缺乏,则骨生成时所需的有机质结构和结构的稳定性均无法生成。其次,含铜金属酶在线粒体产生能量的生物氧化系统的正常进行,保证细胞的能量供给方面也有重要作用。
, 百拇医药
骨折愈合需要合成大量的胶原蛋白和氨基多糖,而锰是二者合成必不可少的因素。[12]胶原蛋白是一种糖蛋白,需要在RNA的转录和支持下,在成骨细胞内完成,而锰是RNA聚合酶所不可缺少的。
铁在体内含量较多,是造血的主要原料,有供氧的功能,主要存在于肌红蛋白和血红蛋白内。在组织修复过程中,合成此二种蛋白即需要大量的铁。同时铁含量增高也能给骨折局部提供充分氧以促进骨折愈合。
机体对微量元素的摄入主要是通过食物和饮水。因此有人在骨折的治疗中使用微量元素后,发现血清和骨痂的微量元素含量均有升高,并且骨折愈合的速度也有所加快。[5,13]但是本实验并没有在动物饲料中特别添加微量元素,却发现针刺和艾灸组比对照组动物血清和骨痂微量元素含量均有不同程度增高。可能主要有以下几个原因:
第一,针灸能够提高微量元素的生物利用度:日常生活的食物及饮水中并不缺乏微量元素,但它们能被生物利用的程度称为生物利用度,它取决于这种金属存在的形态和生物体本身的一些因素,其中后者是关键。例如生物体能放出配体与某些微量元素结合成可以进入体内的络合物、有些元素通过细胞膜时需要载体等。此外体液PH值、离子强度、共存物质等因素也对生物利用度有明显影响。而针灸则可能通过调节作用,使以上各种因素达到最佳水平。使生物体能够充分摄取食物和饮水中的微量元素而提高骨痂和血清微量元素含量。
, 百拇医药
第二,针灸能够促进消化吸收功能:针灸对消化系统的良性调节作用已为大多数人所认同,它可以调节脾胃功能,促进消化液分泌,增加饮食[14]这样则增加了摄入体内微量元素的总量。
第三,针灸可能激活了微量元素固定在酶的部位,促进了酶与底物的结合,从而增强了酶的催化效率,使骨折愈合能够快速进行。
项目基金:国家中医药管理局科研基金课题 编号:95109710
作者简介:张俐(1967-),女(汉族),福建省漳州市人,福建中医学院副教授,医学博士。
参考文献
[1] 沙因.骨折愈合过程中金属元素含量的变化.微量元素与健康研究,1994,11(1):1
, http://www.100md.com
[2] 王智兴.骨折患者血清微量元素变化.中华骨科杂志,1993,13(1):58
[3] Asling CW,et al.The Influence of trace elaments on the sdeiltom.Clin Orthop,1963,27:213
[4] Battis tone Gc,et al.Zinc and bone healing oral surg,1972,34:542
[5] 吕德成.微量元素对家兔骨折愈合影响的实验研究.中华骨科杂志,1992,12(4):282
[6] 奚永江.针法灸法学.上海科学技术出版社,1990,1
[7] 李世珍.常用腧穴临床发挥.人民卫生出版社,1985,379
, 百拇医药
[8] 杨甲三.腧穴学.上海科学技术出版社,1985,74
[9] Hsu JM Biochemistry and metabolism of zinc,In karcioglu zA,et al.(Ed) zinc and Copper in Medicine Charies C Illinois,1980,66
[10] Tengrup I,et al.Influence of zinc on synthesis and the accumulation of collagen in early granulation.Sury Gynecol obstet,1981,152:323
[11] Calhoun NR.The role of zinc in bone metabolism,Clin orthop Rel.Res,1974,103:212
[12] Grant ME.Prockop DJ.The biosyuthesis of collagen.New Engl J Med,1972,286:242
[13] 刘献祥.麦饭石对骨折愈合作用的骨痂强度及微量元素研究.福建中医学院学报,1994,4(2):25
[14] 张笑平.针刺对消化系统机能的影响.辽宁中医杂志,1981,(3):37
收稿日期:1998-10-28, 百拇医药