长半衰期药物的生物利用度研究方法
作者:王海学 李端
单位:上海医科大学药学院药理教研室,上海 200032
关键词:生物利用度;长消除半衰期
中国临床药理学杂志000521
摘 要 本文介绍了长半衰期药物生物利用度研究的几种改进方法。长半衰期药物生物利用度试验中血样收集时间可不同于常规情况的3个以上半衰期,只须达到吸收完全即可,一般为24~36h。若吸收过程符合线性速率动力学,卷积回归法能够准确计算每个药动学参数,同时SIMA&KA和ESTF&KA计算程序又使求算大大简化,因而成为目前应用最为广泛也最为满意的方法。
Methodology on the Bioavailability of Drugs with Long Elimination Half-life
, 百拇医药
Wang Hai-Xue,Li Duan
(Department of Pharmacology , School of Pharmacy, Shanghai Medical University, Shanghai 200032)
Abstract The methods on the determination of the bioavailability for drugs with long elimination half-life were reviewed. All methods depended on the assumption of linear pharmacokinetics. Emphasis is laid on the regression methods of truncated areas-under-curves(AUC) to obtain estimate of bioavailability F, and the absorption rate constant Ka, without obeying the general rules of following blood or plasmal levels for at least three times the elimination half-life. It may take 24-36h to collect blood or plasma samples when the absorption was completed. Two PC-program , SIMF&KA and ESTE&KA , for the regression method of truncated areas can be used for the calculation of the AUC. So the method would be used widely to estimate the bioavailability of long elimination half-life.
, 百拇医药
Key words bioavailability; long elimination half-life
药物制剂的生物利用度通常是通过检品与参比制剂的药-时曲线下面积(AUC0-∝)的比值来求算。单次给药时,血样收集时间一般要求达3个以上的半衰期。但对长半衰期药物而言,若依照同样方法收集血样将花费很长时间,在实际试验中并不可行。因此发展了几种改进的生物利用度研究方法,现概述如下:
1.背景
药物制剂生物利用度是指药物自用药部位进入血液循环系统的速度和程度,它是评价药物制剂质量的一个重要指标。生物利用度有绝对和相对生物利用度之分,绝对生物利用度是指某一药物的血管外给药与静脉给药的 AUC0-∝ 比值,即
(1)
而相对生物利用度是指同一药物的不同制剂或不同厂家的同一制剂的 AUC0-∝比值,即
(2)
, 百拇医药
AUC可采用梯形法或对数三角形法求算
(3)
(4)
试验中血样活性物或其代谢物的收集时间一般为3个以上的半衰期。也有人认为收集时间至少应使 AUC0-t 达 AUC0-∝ 的80%以上[1]。考虑到还需要6个以上半衰期的药物清洗期,因此长半衰期药物的生物利用度试验将会花费很长时间。如乙胺碘呋酮的消除半衰期长达44天[2],这意味着试验全部时间可能长达1.5年之久。因此对于长半衰期药物采用何种方法进行生物利用度研究是目前面临的一个重要问题。可行的解决思路有:①平行试验设计代替交叉试验设计;②仅对患者进行稳态浓度情况下的生物利用度研究;③卷积法(Truncated AUCs )。前两种方法仅对试验设计进行改进,并无明显缩短试验时间,反而增加了试验误差。而卷积法被认为是长半衰期药物生物利用度研究的主要方法。
, http://www.100md.com
2.长半衰期药物的生物利用度试验的改进方法
2.1 Cmax法
该法可以粗略求算药物制剂的生物利用度。若血管外给药时吸收过程符合一级速率过程,静脉给药的峰浓度以零时浓度计算,Urso和Aaron证明此情况下生物利用度的求算可通过下式[3]:
(5)
试验中要求血样收集时间必需达到 Tmax,ev,以确保准确测定Cmax,ev,而静脉给药的Cmax,iv可直接测定或经推算求得。
该法优点是血样收集时间仅需达到Tmax即可,缺点是仍需足够长的清洗期,且要求吸收过程必须符合一级速率过程。另外,它也无法估算其他参数如 T1/2β等,因此很少被采用。
, 百拇医药
2.2 序贯用药[4,5]
该法为同一受试者静脉给药后间隔一段时间又进行血管外给药,或者两者次序恰好相反。此时体内药物浓度为两种制剂血药浓度之和。
静脉给药时
(6)
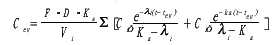
其中 Civ 为静脉给药时某一时刻药物浓度,Rinf为输注速率,T为输注时间,V1为给药容积,CiCi占累积浓度(C1+C2 +C3 + ……+Cn )的百分比值,λi 是相应的速率常数,t为从给药开始算起的时间。
血管外给药时Cev
, 百拇医药
其中Ka为吸收速率常数,F为生物利用度,tev为静脉与血管外给药的时间间隔。
体内药物浓度总量为
C = Civ + Cev
此法可以求算出药动学参数如 F、Ka 等。Bredberg等在turbutaline的人体生物利用度试验中[5],用该法与稳定性同位素法比较,求得的 F相 值分别为14.5%±4.1和 12.0%±3.9,证明采用这两种方法进行生物利用度研究的结果一致,表明该法为一种可靠满意的研究方法。该法也在环孢菌素A 的生物利用度研究中得以应用[6]。该法明显缩短了试验中样品收集时间,亦无需药物清洗期,成为长半衰期药物生物利用度的一种可行方法。
2.3 卷积回归法[7~10](The regression method of truncated areas)
, 百拇医药
对于长半衰期药物而言,血样收集达吸收完全即可。生物利用度可通过
下式求算
(8)
但是,一般情况下,由于血管外给药时AUCev(0-t)/AUCev(0-∞)比值总小于AUCiv(0-t)/AUCiv(0-∞) ,则会有
(9)
如乙胺碘呋酮在人体的消除半衰期约为44天,口服150mg后,用式(9)简单求算24h的生物利用度为0.37,而用式(1)求得 F 为 0.50,证明用该式进行简单求算存在较大误差[10]。Urso和Aarons对该算法进行了改进,称为卷积回归法。
, 百拇医药
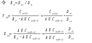
先根据拉普拉斯变换得出下列线性关系:
则有
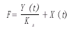
Y(t)=Ka·F-Ka ·X(t) (10)
式(10)中可看出Y(t)与X(t)呈线性关系,纵坐标为Ka·F,横坐标交点为F,斜率为-Ka。
上式还可写成
(11)
当t→∞,Cev(t)→0 Y(t)→0
(12)
, 百拇医药
用 e(F)表示误差,则有
(13)
计算生物利用度时先按式(9)求 F0-t值,再按式(13) 求e(F),两者之和即为正确的生物利用度。如上例乙胺碘呋酮的生物利用度计算中的e(F)为0.13,则经校正后该药的生物利用度值为0.37+0.13=0.50,与 式(1)求得值相一致。
使用该法应注意以下几个问题[11,12]:
①抽样时间达到吸收完全即可,一般为24~36h。如某一药物的吸收半衰期为6.9h(Ka=0.1h-1),24h后体内吸收率达91%,36h达97%,但48h并无明显增加。因此抽样时间一般为24~36h。其次,该法仅关注吸收过程,试验中当吸收完全时即可下次给药,并不影响 F 和 Ka 的求算。Urso和Aason还证明该法不会因为药物半衰期的长短不同而影响参数计算的准确性。
, 百拇医药
②计算AUC遵循的原则为:对于血管外给药AUC采用公式(3)求算;对于静脉给药,0-t 时间的AUC 采用公式(4)求算;若 Ci > Ci-1 ,则采用公式(3)求算。
③该计算过程可应用SIMA&KA和ESTF&KA程序进行处理[10]。前者程序主要对实测c-t数据按该法计算F,Ka值,后者则借助经验数学模型计算F,Ka值。
3.结语
长半衰期药物生物利用度试验中血样收集时间可不同于常规的3个以上半衰期,一般为24~36h即可。本文介绍了几种改进的生物利用度研究方法,其中卷积回归法能够准确估算每个药代动力学参数,同时SIMA&KA和ESTF&KA计算程序使求算大大简化,因而成为目前应用最为广泛也最为满意的方法。
参考文献
, http://www.100md.com
1.U.K. Medicines Act: Note on application for product licences. Annex Ⅱto MAL 2, Department of Health and Social Security, London, UK, 1983.
2.Tucker GT, Jackson PR, Storey GCA, et al. Bioavailability of amiodarone. Eur J Clin Pharmacol, 1984; 26:533~534.
3.Urso R, Aarons L. Bioavailability of drugs with long elimination half-lives. Eur J Clin Pharmacol, 1983; 25:689~693.
4.Bredberg ULF, Karlsson MO. In vivo evaluation of the semisimultaneous method for bioavailability estimation using controlled intravenous infusion as an extravascular route of administration. Biopharmaceutics Drugs Disposition, 1991; 12:583~597.
, http://www.100md.com
5.Bredberg U, karlsson MO, Borgstrom L, et al. A comparison between the semisimultaneous and the stable isotope techniques for bioavailability estimation of terbutaline in humans. Clin Pharmacol Ther, 1992; 52: 239~248.
6.Karlsson M, Lindberg FA. Comparison of methods to calculate cyclosporine A bioavailability from consecutive oral and intravenous doses. Pharmacokinet Biopharmaceut, 1990; 18:293~311.
7.Wijand H. The determination of the absolute bioavailability for drug substances with long elimination half-lives(with PC-programs for the method of truncated areas). Comput Meth program Biom, 1992; 39: 61~73.
, 百拇医药
8.endrenyi L, Tothfalusi L. Truncated AUC evaluates effectively the bioequivalence of drugs with long half-lives. Int J Clin Pharmacol Ther, 1997; 35: 412~415.
9.Gaudreault J, Potvin D, Lavigne J, et al. Truncated area under the curve as a measure of relatives extent of bioavailability: evaluation using esperimental data and Monte Carlo simulations. Phaym Res, 1998; 10:1621~1629.
10.Wijiand H. Updates of bioequivalence programs (including statistical power approximated by student?t). Comput Meth Program Biom, 1994; 42:275~281.
11.Estimation of bioavailability of a long-life drug in healthy subjects. Pharm Res,1998;15: 1782~1786.
12.Bioavailability of drugs with long elimination half-lives. Pharm Res, 1998; 15: 1782~1786.
收稿:2000-04-27,修回:2000-08-11, 百拇医药
单位:上海医科大学药学院药理教研室,上海 200032
关键词:生物利用度;长消除半衰期
中国临床药理学杂志000521
摘 要 本文介绍了长半衰期药物生物利用度研究的几种改进方法。长半衰期药物生物利用度试验中血样收集时间可不同于常规情况的3个以上半衰期,只须达到吸收完全即可,一般为24~36h。若吸收过程符合线性速率动力学,卷积回归法能够准确计算每个药动学参数,同时SIMA&KA和ESTF&KA计算程序又使求算大大简化,因而成为目前应用最为广泛也最为满意的方法。
Methodology on the Bioavailability of Drugs with Long Elimination Half-life
, 百拇医药
Wang Hai-Xue,Li Duan
(Department of Pharmacology , School of Pharmacy, Shanghai Medical University, Shanghai 200032)
Abstract The methods on the determination of the bioavailability for drugs with long elimination half-life were reviewed. All methods depended on the assumption of linear pharmacokinetics. Emphasis is laid on the regression methods of truncated areas-under-curves(AUC) to obtain estimate of bioavailability F, and the absorption rate constant Ka, without obeying the general rules of following blood or plasmal levels for at least three times the elimination half-life. It may take 24-36h to collect blood or plasma samples when the absorption was completed. Two PC-program , SIMF&KA and ESTE&KA , for the regression method of truncated areas can be used for the calculation of the AUC. So the method would be used widely to estimate the bioavailability of long elimination half-life.
, 百拇医药
Key words bioavailability; long elimination half-life
药物制剂的生物利用度通常是通过检品与参比制剂的药-时曲线下面积(AUC0-∝)的比值来求算。单次给药时,血样收集时间一般要求达3个以上的半衰期。但对长半衰期药物而言,若依照同样方法收集血样将花费很长时间,在实际试验中并不可行。因此发展了几种改进的生物利用度研究方法,现概述如下:
1.背景
药物制剂生物利用度是指药物自用药部位进入血液循环系统的速度和程度,它是评价药物制剂质量的一个重要指标。生物利用度有绝对和相对生物利用度之分,绝对生物利用度是指某一药物的血管外给药与静脉给药的 AUC0-∝ 比值,即
而相对生物利用度是指同一药物的不同制剂或不同厂家的同一制剂的 AUC0-∝比值,即
, 百拇医药
AUC可采用梯形法或对数三角形法求算
试验中血样活性物或其代谢物的收集时间一般为3个以上的半衰期。也有人认为收集时间至少应使 AUC0-t 达 AUC0-∝ 的80%以上[1]。考虑到还需要6个以上半衰期的药物清洗期,因此长半衰期药物的生物利用度试验将会花费很长时间。如乙胺碘呋酮的消除半衰期长达44天[2],这意味着试验全部时间可能长达1.5年之久。因此对于长半衰期药物采用何种方法进行生物利用度研究是目前面临的一个重要问题。可行的解决思路有:①平行试验设计代替交叉试验设计;②仅对患者进行稳态浓度情况下的生物利用度研究;③卷积法(Truncated AUCs )。前两种方法仅对试验设计进行改进,并无明显缩短试验时间,反而增加了试验误差。而卷积法被认为是长半衰期药物生物利用度研究的主要方法。
, http://www.100md.com
2.长半衰期药物的生物利用度试验的改进方法
2.1 Cmax法
该法可以粗略求算药物制剂的生物利用度。若血管外给药时吸收过程符合一级速率过程,静脉给药的峰浓度以零时浓度计算,Urso和Aaron证明此情况下生物利用度的求算可通过下式[3]:
试验中要求血样收集时间必需达到 Tmax,ev,以确保准确测定Cmax,ev,而静脉给药的Cmax,iv可直接测定或经推算求得。
该法优点是血样收集时间仅需达到Tmax即可,缺点是仍需足够长的清洗期,且要求吸收过程必须符合一级速率过程。另外,它也无法估算其他参数如 T1/2β等,因此很少被采用。
, 百拇医药
2.2 序贯用药[4,5]
该法为同一受试者静脉给药后间隔一段时间又进行血管外给药,或者两者次序恰好相反。此时体内药物浓度为两种制剂血药浓度之和。
静脉给药时
其中 Civ 为静脉给药时某一时刻药物浓度,Rinf为输注速率,T为输注时间,V1为给药容积,CiCi占累积浓度(C1+C2 +C3 + ……+Cn )的百分比值,λi 是相应的速率常数,t为从给药开始算起的时间。
血管外给药时Cev
, 百拇医药
其中Ka为吸收速率常数,F为生物利用度,tev为静脉与血管外给药的时间间隔。
体内药物浓度总量为
C = Civ + Cev
此法可以求算出药动学参数如 F、Ka 等。Bredberg等在turbutaline的人体生物利用度试验中[5],用该法与稳定性同位素法比较,求得的 F相 值分别为14.5%±4.1和 12.0%±3.9,证明采用这两种方法进行生物利用度研究的结果一致,表明该法为一种可靠满意的研究方法。该法也在环孢菌素A 的生物利用度研究中得以应用[6]。该法明显缩短了试验中样品收集时间,亦无需药物清洗期,成为长半衰期药物生物利用度的一种可行方法。
2.3 卷积回归法[7~10](The regression method of truncated areas)
, 百拇医药
对于长半衰期药物而言,血样收集达吸收完全即可。生物利用度可通过
下式求算
但是,一般情况下,由于血管外给药时AUCev(0-t)/AUCev(0-∞)比值总小于AUCiv(0-t)/AUCiv(0-∞) ,则会有
如乙胺碘呋酮在人体的消除半衰期约为44天,口服150mg后,用式(9)简单求算24h的生物利用度为0.37,而用式(1)求得 F 为 0.50,证明用该式进行简单求算存在较大误差[10]。Urso和Aarons对该算法进行了改进,称为卷积回归法。
, 百拇医药
先根据拉普拉斯变换得出下列线性关系:
则有
Y(t)=Ka·F-Ka ·X(t) (10)
式(10)中可看出Y(t)与X(t)呈线性关系,纵坐标为Ka·F,横坐标交点为F,斜率为-Ka。
上式还可写成
当t→∞,Cev(t)→0 Y(t)→0
, 百拇医药
用 e(F)表示误差,则有
计算生物利用度时先按式(9)求 F0-t值,再按式(13) 求e(F),两者之和即为正确的生物利用度。如上例乙胺碘呋酮的生物利用度计算中的e(F)为0.13,则经校正后该药的生物利用度值为0.37+0.13=0.50,与 式(1)求得值相一致。
使用该法应注意以下几个问题[11,12]:
①抽样时间达到吸收完全即可,一般为24~36h。如某一药物的吸收半衰期为6.9h(Ka=0.1h-1),24h后体内吸收率达91%,36h达97%,但48h并无明显增加。因此抽样时间一般为24~36h。其次,该法仅关注吸收过程,试验中当吸收完全时即可下次给药,并不影响 F 和 Ka 的求算。Urso和Aason还证明该法不会因为药物半衰期的长短不同而影响参数计算的准确性。
, 百拇医药
②计算AUC遵循的原则为:对于血管外给药AUC采用公式(3)求算;对于静脉给药,0-t 时间的AUC 采用公式(4)求算;若 Ci > Ci-1 ,则采用公式(3)求算。
③该计算过程可应用SIMA&KA和ESTF&KA程序进行处理[10]。前者程序主要对实测c-t数据按该法计算F,Ka值,后者则借助经验数学模型计算F,Ka值。
3.结语
长半衰期药物生物利用度试验中血样收集时间可不同于常规的3个以上半衰期,一般为24~36h即可。本文介绍了几种改进的生物利用度研究方法,其中卷积回归法能够准确估算每个药代动力学参数,同时SIMA&KA和ESTF&KA计算程序使求算大大简化,因而成为目前应用最为广泛也最为满意的方法。
参考文献
, http://www.100md.com
1.U.K. Medicines Act: Note on application for product licences. Annex Ⅱto MAL 2, Department of Health and Social Security, London, UK, 1983.
2.Tucker GT, Jackson PR, Storey GCA, et al. Bioavailability of amiodarone. Eur J Clin Pharmacol, 1984; 26:533~534.
3.Urso R, Aarons L. Bioavailability of drugs with long elimination half-lives. Eur J Clin Pharmacol, 1983; 25:689~693.
4.Bredberg ULF, Karlsson MO. In vivo evaluation of the semisimultaneous method for bioavailability estimation using controlled intravenous infusion as an extravascular route of administration. Biopharmaceutics Drugs Disposition, 1991; 12:583~597.
, http://www.100md.com
5.Bredberg U, karlsson MO, Borgstrom L, et al. A comparison between the semisimultaneous and the stable isotope techniques for bioavailability estimation of terbutaline in humans. Clin Pharmacol Ther, 1992; 52: 239~248.
6.Karlsson M, Lindberg FA. Comparison of methods to calculate cyclosporine A bioavailability from consecutive oral and intravenous doses. Pharmacokinet Biopharmaceut, 1990; 18:293~311.
7.Wijand H. The determination of the absolute bioavailability for drug substances with long elimination half-lives(with PC-programs for the method of truncated areas). Comput Meth program Biom, 1992; 39: 61~73.
, 百拇医药
8.endrenyi L, Tothfalusi L. Truncated AUC evaluates effectively the bioequivalence of drugs with long half-lives. Int J Clin Pharmacol Ther, 1997; 35: 412~415.
9.Gaudreault J, Potvin D, Lavigne J, et al. Truncated area under the curve as a measure of relatives extent of bioavailability: evaluation using esperimental data and Monte Carlo simulations. Phaym Res, 1998; 10:1621~1629.
10.Wijiand H. Updates of bioequivalence programs (including statistical power approximated by student?t). Comput Meth Program Biom, 1994; 42:275~281.
11.Estimation of bioavailability of a long-life drug in healthy subjects. Pharm Res,1998;15: 1782~1786.
12.Bioavailability of drugs with long elimination half-lives. Pharm Res, 1998; 15: 1782~1786.
收稿:2000-04-27,修回:2000-08-11, 百拇医药