超声背向散射积分和回声强度定量在急性心肌缺血与再灌注过程中的变化及其与心肌收缩力的关系
作者:冉海涛 王志刚 周建中 蒲世玉 苏海兵 陈庆伟 黄晶
单位:冉海涛 王志刚(400010 重庆医科大学附属第二医院超声科)
关键词:急性心肌缺血与再灌注;超声背向散射积分;回声强度;收缩功能
中国超声医学杂志991202 摘 要 目的:观察犬心肌组织背向散射积分(IB)及其心动周期变化幅度(CVIB)和回声强度(EI)及其心动周期变化幅度(CVEI)在急性心肌缺血与再灌注过程中的变化,以及CVIB和CVEI与局部心肌收缩力的关系。方法:用HP-5500型超声诊断仪和自制DFY型超声图像定量分析诊断仪,测量了10只犬冠状动脉左前降支阻断前、后及再灌注不同时间左室前壁心肌组织IB、EI值和CVIB、CVEI值,并同时测量室壁厚度(WT)和收缩期增厚率(TH%)的动态变化。结果:冠脉阻断20分钟后,缺血心肌组织IB和EI均增高(P<0.01),CVIB和CVEI均降低(P均<0.01)。再灌注10分钟,IB和EI即恢复正常,与WT相关。CVIB和CVEI的恢复相对缓慢,至再灌注90分钟后方恢复正常,CVIB和CVEI的变化与TH%的变化密切相关(r1=0.87,r2=0.82,P<0.01)。结论:心肌组织背向散射积分和回声强度在急性缺血与再灌注过程中存在相同的变化规律;CVIB和CVEI与局部心肌组织收缩功能密切相关;通过分析CVIB和CVEI的变化不但能区别正常和缺血心肌组织,同时可评估心肌组织的收缩功能。
, 百拇医药
Quantitative Analysis of Ultrasonic Integrated Backscatter and Echo Intensity after Acute Myocardial Ischemia and Reperfusion in Relation to Myocardial Contractility
Ran Haitao,Wang Zhigang,Zhou Jianzhong,et al
The Second Hospital of Chongqing Medical University Chongqing 400010
ABSTRACT Objective:To investigate the changes of ultrasonic integrated backscatter(IB),echo intensity(EI) and their magnitudes of cyclic variation(CVIB and CVEI) after acute myocardial ischemia and reperfusion,and the relationships between the changes of CVIB,CVEI and regional myocardial contractility.Methods:The values of IB,CVIB,EI and CVEI of anterior wall were measured by HP 5500 ultrasonic instrument and DFY ultrasonic apparatus on the left ventricular short-axis view at papillary level in 10 open-chest dogs before and 20 minutes after left anterior descending coronary artery occulsion,and followed by reperfusion at selected intervals.The segmental wall thickness(WT) and wall thickening(TH%) were measured at the same time.Results:After 20 minutes of coronary occlusion,WT decreased from 6. 66mm to 5.80mm(P<0.01),TH% decreased from 55.68% to 12.24%(P<0.01).Changes in integrated backscatter and echo intensity associated with these decreases include increase in IB and EI(P<0.01,respectively),decrease in CVIB and CVEI(P<0.01 respectively).After 10 minutes reperfusion,IB and EI recovered to baseline values.CVIB and CVEI recovered to normal,after 90 minutes reperfusion their changes correlated with the changes of TH%(r1=0.87,r2=0.82,P<0.01 respectively).Conclusion:The changes of IB and EI were similar after acute myocardial ischemia and followed by reperfusion.CVIB and CVEI correlated well with regional myocardial contractility.We can not only distinguish normal from ischemia myocardium,but also can assess its contractile function by quantitative analysis of CVIB and CVEI.
, 百拇医药
KEY WORDS Acute myocardial ischemic and reperfusion Ultrasonic integrated backscatter Echo intensity Contractile function
本实验旨在通过动物试验,观察超声背向散射积分(IB)和回声强度(EI)在急性心肌缺血与再灌注过程中的动态变化,以及心动周期变化幅度(CVIB和CVEI)与局部心肌收缩功能的关系。
资料与方法
实验动物 健康杂种犬10只,其中雄性6只,雌性4,体重12.5~16Kg。
仪器设备 HP-5500型超声诊断仪,具有散射二维成像和相关测量分析功能。我院自行研制的DFY型超声图像定量分析诊断仪(下简称“定量仪”),能与市售超声诊断仪连机使用,具有图像回声强度(EI)定量分析功能〔1〕。
, 百拇医药
犬急性心肌缺血与再灌注模型的建立 10只犬均经腹腔注射麻醉(戊巴比妥纳25mg/Kg),气管切开插管,用呼吸机正压人工通气。经左侧第5肋间开胸,剪开心包,将心包四周固定于胸壁形成“心包吊蓝”。仔细分离冠状动脉左前降支起始部,预置细线备用,按实验设计阻断或松解冠脉,即可造成所需动物模型。
操作与图像获取 检测时,在探头前方预先固定一特制的小水囊,垂直置于左室前壁,探头中心频率固定为3.0MHz,调节增益至日常操作最佳图像,然后固定设置,保证每次实验过程中仪器均保持同样的设置,以排出仪器发射和接收条件不同对测值的影响。分别获取冠状动脉左前降支阻断前、阻断20分钟及再灌注10、30、60、90分钟时刻的左室乳头肌短轴二维、M型和散射二维图像,并存入光盘,待分析测量。
数据采集与测量方法 IB和EI定量检测时,取样面积为21×21像素点左右,置于左室前壁心内、外膜之间,以排出心内、外膜强回声的干扰。以同步记录的犬体表心电图QRS波起点为舒张末期,T波终点为收缩末期。IB值为局部心肌组织背向散射积分变化曲线的AⅡ值(Average Image Intensiry),IB心动周期变化幅度(CVIB)值为PPI值(Peak-to-Peak Intensity)(图1、2)。EI值为局部心肌组织舒张末期回声强度值,EI心动周期变化幅度(CVEI)值为舒张末期EI值-收缩末期EI值。根据M型图像计算室壁厚度(WT)和收缩期增厚率(TH%)。
, 百拇医药
图1 IB、CVIB测量方法示意图
图2 冠脉阻断后IB值增高,CVIB值降低(图左为冠脉阻断前,图右为冠脉阻断后)
统计分析 所有数据以
±s表示,采用t检验和直线相关回归分析,以P<0.05为有统计学意义。
结 果
1.正常及缺血与再灌注过程中,不同时间各参数测值见表1。
表1 冠状动脉阻断前、后及再灌注后各参数测值 参数
阻断前
, 百拇医药
阻断后20分
再灌注10分
30分
60分
90分
IB(dB)
20.81±1.21
25.24±1.18
21.16±1.24
20.84±1.14
20.78±1.26
20.84±1.04
, 百拇医药
CVIB(dB)
7.55±0.45
2.94±0.02
5.02±0.56
6.26±0.40
7.02±0.47
7.53±0.38
EI(dB)
33.31±1.16
36.34±1.28
33.45±1.54
33.16±1.00
, 百拇医药
33.36±1.52
33.30±1.22
CVEI(dB)
6.12±0.41
2.61±0.60
4.64±0.48
4.98±0.36
5.52±0.42
6.00±0.45
WT(mm)
6.66±0.45
5.80±0.42
, 百拇医药
6.60±0.48
6.65±0.46
6.64±0.44
6.68±0.42
TH%
56.68±5.48
12.24±1.82
34.85±5.02
41.76±3.45
48.25±5.35
54.62±4.60
2.IB和EI值在急性心肌缺血与再灌注过程中的变化及其与WT的关系:冠脉左前降支阻断20分钟后,左室前壁缺血区心肌组织IB和EI值明显增高(P均<0.01),同时局部WT变薄(P<0.01)。此时立即给予再灌注,再灌注10分钟后,IB和EI值均恢复正常(P>0.05),二者的变化与WT密切相关(图3)。
, 百拇医药
横坐标为时间(分),纵坐标分别为IB、EI和WT(mm),箭头所指处为再灌注时刻。
图3 IB、EI和WT在急性心肌缺血与再灌注过程中的动态变化
3.CVIB和CVEI在急性心肌缺血与再灌注过程中的变化及其与TH%的关系:冠脉左前降支阻断前,犬左室前壁心肌组织IB和EI值随心动周期而变化,舒张末期值大于收缩末期值(P均<0.01),CVIB和CVEI分别约为7~8dB和5.5~6.5dB。
冠脉左前降支阻断20分钟后,左室前壁缺血区心肌组织CVIB和CVEI值均明显降低(P均<0.01),同时TH%降低(P<0.01)。再灌注后,CVIB和CVEI的恢复相对较缓慢,至再灌注90分钟时方恢复正常。CVIB和CVEI的变化与TH%的变化均密切相关,其平均相关系数分别为0.87和0.82(P均<0.01)(图4)。
, 百拇医药
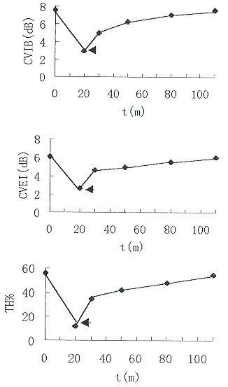
横坐标为时间(分),纵坐标分别为CVIB、CVEI和TH%,图中箭头所指处为再灌注时刻。
图4 CVIB、CVEI和TH%在急性心肌缺血与再灌注过程中的动态变化
讨 论
超声组织定征是重要的研究方向,目前对超声背向散射积分(IB)的研究较为热门。国外学者的研究发现,在正常情况下,心肌组织的IB值随心动周期而变化,CVIB与心率、心脏前后负荷改变无关,而与心肌收缩力密切相关。当急性心肌缺血时,IB值增高,CVIB值降低,通过分析CVIB的变化不但能区别正常和缺血心肌组织,而且能评估心肌组织的收缩功能〔2~4〕。
本实验结果显示,正常情况下,犬心肌组织IB值随心动周期而变化,CVIB约7~8dB。当急性心肌缺血时,缺血区心肌组织IB值增高,CVIB值降低。缺血心肌组织再灌注后,随着局部心肌组织收缩功能的逐步恢复,TH%逐步增高,CVIB亦逐渐恢复正常,二者的变化密切相关,与国外学者的报道相吻合。
, http://www.100md.com
本实验结果用量化数据同时证实,EI值亦随心动周期而变化,存在约5.5~6.5dB的心动周期变化幅度。当急性心肌缺血时,EI值增高,CVEI值降低。缺血心肌再灌注后,EI值很快恢复正常,与WT相关;CVEI的恢复相对较缓慢,与TH%的变化密切相关。通过定量分析局部心肌组织EI值的变化,以CVEI为参数,不但能区别正常和缺血心肌组织,也能反映心肌组织的收缩功能。
IB和EI随心动周期变化的机制尚不十分清楚。正常情况下,心肌组织IB、EI随心动周期而变化,可能系由于心肌收缩和舒张致室壁厚度、组织结构、心肌纤维形状、大小和排列方向及组织血供量随心动周期变化致组织超声传播特性发生周期性变化的结果〔5〕。急性心肌缺血时,由于心肌组织收缩功能降低,舒张末期和收缩末期室壁厚度和组织结构等差异减小,从而致CVIB和CVEI降低。IB和EI值在缺血时增高则与室壁变薄和组织血流量减少等因素有关。由于心肌组织结构的复杂性,其散射和回声强度变化的机制尚有待于进一步深入探讨。
, http://www.100md.com
IB是一个很好的心脏超声组织定征参数,分析IB的变化可了解心肌组织的静力学特征和动力学特征。国外已有利用IB技术对多种心脏疾病进行超声组织定征的报道〔6~9〕。但检测IB需要昂贵的仪器,尚难于在临床广泛开展。本实验显示,超声心动图心肌组织回声强度与背向散射积分在犬正常及缺血与再灌注过程中的变化是一致的,亦能提供IB所能提供的超声组织特征信息,且所用“定量仪”价格低廉,易于普及推广,不失为一简便易行的临床心脏超声组织定征方法。
本课题为重庆市重点科研攻关项目
作者简介:冉海涛:硕士研究生
王志刚:导师
参考文献
1 徐智章.两维彩阶显示在理论与应用中的研讨.中医学会首届彩阶超声诊断学术论文汇编,1992,1
, 百拇医药
2 Madaras EI,Barzilai B,Perez JE,et al.Changes in myocardial backscatter throughout the cardiac cycle.Ultrasonic Imaging.1983,5:229~239
3 Naito J,Masuyams T,Mano T,et al.Influence of preload,afterload,and contractility on myocardial ultrasonic tissue characterization with integrated backscatter.Ultrasound in Med & Biol 1996,22(3):305~312
4 Rijsterborch H,Van Der Steen,Krams,et al.The relationship between myocardial integrated backscatter,perfusion pressure and wall thickness during isvolumic contraction:An isolated pig heart study.Ultrasoud in Med & Biol 1996,22(1):43~52
, 百拇医药
5 O'Brein PD,OBrien WD,Rhyne TL.et al.Relation of ultrasonic backscatter and acoustic propagation properties to myofibrillar length and myocardial thickness.Circulation 1995,1(91):171~175
6 Naito J,Masuyama T,Tanouchi J,et al.Analysis of transmural trend of myocardial integrated ultrasonic backscatter for the differentiation of hypertrophic cardiomyopathy and ventricular hypertrophy due to hypertension.J Am Coll Cardiol 1994,24:517~524
, 百拇医药
7 Masuyama T,Goar,Terrence L,et al.Serial measurement of integrated ultrasonic backscatter in human allografts for the recognition of acute rejection.Circulation 1990,81:829~839
8 Perez JE,Mc Gill JB,Santiago JV,et al.Abnormal myocardial acoustic properties in diabetic patients and their correlation with the severity of disease.J Am Coll Cardiol 1992,19:1154~1162
9 Lung-Chun Lin,Chau-Chung Wu,Yi-Lwun Ho,et al.Ultrasonic tissue characterization for coronary care unit patient with acute myocardial infarction.Ultrasound in Med & Biol 1998,2(24):187~196
(1999-05-31收稿), http://www.100md.com
单位:冉海涛 王志刚(400010 重庆医科大学附属第二医院超声科)
关键词:急性心肌缺血与再灌注;超声背向散射积分;回声强度;收缩功能
中国超声医学杂志991202 摘 要 目的:观察犬心肌组织背向散射积分(IB)及其心动周期变化幅度(CVIB)和回声强度(EI)及其心动周期变化幅度(CVEI)在急性心肌缺血与再灌注过程中的变化,以及CVIB和CVEI与局部心肌收缩力的关系。方法:用HP-5500型超声诊断仪和自制DFY型超声图像定量分析诊断仪,测量了10只犬冠状动脉左前降支阻断前、后及再灌注不同时间左室前壁心肌组织IB、EI值和CVIB、CVEI值,并同时测量室壁厚度(WT)和收缩期增厚率(TH%)的动态变化。结果:冠脉阻断20分钟后,缺血心肌组织IB和EI均增高(P<0.01),CVIB和CVEI均降低(P均<0.01)。再灌注10分钟,IB和EI即恢复正常,与WT相关。CVIB和CVEI的恢复相对缓慢,至再灌注90分钟后方恢复正常,CVIB和CVEI的变化与TH%的变化密切相关(r1=0.87,r2=0.82,P<0.01)。结论:心肌组织背向散射积分和回声强度在急性缺血与再灌注过程中存在相同的变化规律;CVIB和CVEI与局部心肌组织收缩功能密切相关;通过分析CVIB和CVEI的变化不但能区别正常和缺血心肌组织,同时可评估心肌组织的收缩功能。
, 百拇医药
Quantitative Analysis of Ultrasonic Integrated Backscatter and Echo Intensity after Acute Myocardial Ischemia and Reperfusion in Relation to Myocardial Contractility
Ran Haitao,Wang Zhigang,Zhou Jianzhong,et al
The Second Hospital of Chongqing Medical University Chongqing 400010
ABSTRACT Objective:To investigate the changes of ultrasonic integrated backscatter(IB),echo intensity(EI) and their magnitudes of cyclic variation(CVIB and CVEI) after acute myocardial ischemia and reperfusion,and the relationships between the changes of CVIB,CVEI and regional myocardial contractility.Methods:The values of IB,CVIB,EI and CVEI of anterior wall were measured by HP 5500 ultrasonic instrument and DFY ultrasonic apparatus on the left ventricular short-axis view at papillary level in 10 open-chest dogs before and 20 minutes after left anterior descending coronary artery occulsion,and followed by reperfusion at selected intervals.The segmental wall thickness(WT) and wall thickening(TH%) were measured at the same time.Results:After 20 minutes of coronary occlusion,WT decreased from 6. 66mm to 5.80mm(P<0.01),TH% decreased from 55.68% to 12.24%(P<0.01).Changes in integrated backscatter and echo intensity associated with these decreases include increase in IB and EI(P<0.01,respectively),decrease in CVIB and CVEI(P<0.01 respectively).After 10 minutes reperfusion,IB and EI recovered to baseline values.CVIB and CVEI recovered to normal,after 90 minutes reperfusion their changes correlated with the changes of TH%(r1=0.87,r2=0.82,P<0.01 respectively).Conclusion:The changes of IB and EI were similar after acute myocardial ischemia and followed by reperfusion.CVIB and CVEI correlated well with regional myocardial contractility.We can not only distinguish normal from ischemia myocardium,but also can assess its contractile function by quantitative analysis of CVIB and CVEI.
, 百拇医药
KEY WORDS Acute myocardial ischemic and reperfusion Ultrasonic integrated backscatter Echo intensity Contractile function
本实验旨在通过动物试验,观察超声背向散射积分(IB)和回声强度(EI)在急性心肌缺血与再灌注过程中的动态变化,以及心动周期变化幅度(CVIB和CVEI)与局部心肌收缩功能的关系。
资料与方法
实验动物 健康杂种犬10只,其中雄性6只,雌性4,体重12.5~16Kg。
仪器设备 HP-5500型超声诊断仪,具有散射二维成像和相关测量分析功能。我院自行研制的DFY型超声图像定量分析诊断仪(下简称“定量仪”),能与市售超声诊断仪连机使用,具有图像回声强度(EI)定量分析功能〔1〕。
, 百拇医药
犬急性心肌缺血与再灌注模型的建立 10只犬均经腹腔注射麻醉(戊巴比妥纳25mg/Kg),气管切开插管,用呼吸机正压人工通气。经左侧第5肋间开胸,剪开心包,将心包四周固定于胸壁形成“心包吊蓝”。仔细分离冠状动脉左前降支起始部,预置细线备用,按实验设计阻断或松解冠脉,即可造成所需动物模型。
操作与图像获取 检测时,在探头前方预先固定一特制的小水囊,垂直置于左室前壁,探头中心频率固定为3.0MHz,调节增益至日常操作最佳图像,然后固定设置,保证每次实验过程中仪器均保持同样的设置,以排出仪器发射和接收条件不同对测值的影响。分别获取冠状动脉左前降支阻断前、阻断20分钟及再灌注10、30、60、90分钟时刻的左室乳头肌短轴二维、M型和散射二维图像,并存入光盘,待分析测量。
数据采集与测量方法 IB和EI定量检测时,取样面积为21×21像素点左右,置于左室前壁心内、外膜之间,以排出心内、外膜强回声的干扰。以同步记录的犬体表心电图QRS波起点为舒张末期,T波终点为收缩末期。IB值为局部心肌组织背向散射积分变化曲线的AⅡ值(Average Image Intensiry),IB心动周期变化幅度(CVIB)值为PPI值(Peak-to-Peak Intensity)(图1、2)。EI值为局部心肌组织舒张末期回声强度值,EI心动周期变化幅度(CVEI)值为舒张末期EI值-收缩末期EI值。根据M型图像计算室壁厚度(WT)和收缩期增厚率(TH%)。
, 百拇医药
图1 IB、CVIB测量方法示意图
图2 冠脉阻断后IB值增高,CVIB值降低(图左为冠脉阻断前,图右为冠脉阻断后)
统计分析 所有数据以
结 果
1.正常及缺血与再灌注过程中,不同时间各参数测值见表1。
表1 冠状动脉阻断前、后及再灌注后各参数测值 参数
阻断前
, 百拇医药
阻断后20分
再灌注10分
30分
60分
90分
IB(dB)
20.81±1.21
25.24±1.18
21.16±1.24
20.84±1.14
20.78±1.26
20.84±1.04
, 百拇医药
CVIB(dB)
7.55±0.45
2.94±0.02
5.02±0.56
6.26±0.40
7.02±0.47
7.53±0.38
EI(dB)
33.31±1.16
36.34±1.28
33.45±1.54
33.16±1.00
, 百拇医药
33.36±1.52
33.30±1.22
CVEI(dB)
6.12±0.41
2.61±0.60
4.64±0.48
4.98±0.36
5.52±0.42
6.00±0.45
WT(mm)
6.66±0.45
5.80±0.42
, 百拇医药
6.60±0.48
6.65±0.46
6.64±0.44
6.68±0.42
TH%
56.68±5.48
12.24±1.82
34.85±5.02
41.76±3.45
48.25±5.35
54.62±4.60
2.IB和EI值在急性心肌缺血与再灌注过程中的变化及其与WT的关系:冠脉左前降支阻断20分钟后,左室前壁缺血区心肌组织IB和EI值明显增高(P均<0.01),同时局部WT变薄(P<0.01)。此时立即给予再灌注,再灌注10分钟后,IB和EI值均恢复正常(P>0.05),二者的变化与WT密切相关(图3)。
, 百拇医药
横坐标为时间(分),纵坐标分别为IB、EI和WT(mm),箭头所指处为再灌注时刻。
图3 IB、EI和WT在急性心肌缺血与再灌注过程中的动态变化
3.CVIB和CVEI在急性心肌缺血与再灌注过程中的变化及其与TH%的关系:冠脉左前降支阻断前,犬左室前壁心肌组织IB和EI值随心动周期而变化,舒张末期值大于收缩末期值(P均<0.01),CVIB和CVEI分别约为7~8dB和5.5~6.5dB。
冠脉左前降支阻断20分钟后,左室前壁缺血区心肌组织CVIB和CVEI值均明显降低(P均<0.01),同时TH%降低(P<0.01)。再灌注后,CVIB和CVEI的恢复相对较缓慢,至再灌注90分钟时方恢复正常。CVIB和CVEI的变化与TH%的变化均密切相关,其平均相关系数分别为0.87和0.82(P均<0.01)(图4)。
, 百拇医药
横坐标为时间(分),纵坐标分别为CVIB、CVEI和TH%,图中箭头所指处为再灌注时刻。
图4 CVIB、CVEI和TH%在急性心肌缺血与再灌注过程中的动态变化
讨 论
超声组织定征是重要的研究方向,目前对超声背向散射积分(IB)的研究较为热门。国外学者的研究发现,在正常情况下,心肌组织的IB值随心动周期而变化,CVIB与心率、心脏前后负荷改变无关,而与心肌收缩力密切相关。当急性心肌缺血时,IB值增高,CVIB值降低,通过分析CVIB的变化不但能区别正常和缺血心肌组织,而且能评估心肌组织的收缩功能〔2~4〕。
本实验结果显示,正常情况下,犬心肌组织IB值随心动周期而变化,CVIB约7~8dB。当急性心肌缺血时,缺血区心肌组织IB值增高,CVIB值降低。缺血心肌组织再灌注后,随着局部心肌组织收缩功能的逐步恢复,TH%逐步增高,CVIB亦逐渐恢复正常,二者的变化密切相关,与国外学者的报道相吻合。
, http://www.100md.com
本实验结果用量化数据同时证实,EI值亦随心动周期而变化,存在约5.5~6.5dB的心动周期变化幅度。当急性心肌缺血时,EI值增高,CVEI值降低。缺血心肌再灌注后,EI值很快恢复正常,与WT相关;CVEI的恢复相对较缓慢,与TH%的变化密切相关。通过定量分析局部心肌组织EI值的变化,以CVEI为参数,不但能区别正常和缺血心肌组织,也能反映心肌组织的收缩功能。
IB和EI随心动周期变化的机制尚不十分清楚。正常情况下,心肌组织IB、EI随心动周期而变化,可能系由于心肌收缩和舒张致室壁厚度、组织结构、心肌纤维形状、大小和排列方向及组织血供量随心动周期变化致组织超声传播特性发生周期性变化的结果〔5〕。急性心肌缺血时,由于心肌组织收缩功能降低,舒张末期和收缩末期室壁厚度和组织结构等差异减小,从而致CVIB和CVEI降低。IB和EI值在缺血时增高则与室壁变薄和组织血流量减少等因素有关。由于心肌组织结构的复杂性,其散射和回声强度变化的机制尚有待于进一步深入探讨。
, http://www.100md.com
IB是一个很好的心脏超声组织定征参数,分析IB的变化可了解心肌组织的静力学特征和动力学特征。国外已有利用IB技术对多种心脏疾病进行超声组织定征的报道〔6~9〕。但检测IB需要昂贵的仪器,尚难于在临床广泛开展。本实验显示,超声心动图心肌组织回声强度与背向散射积分在犬正常及缺血与再灌注过程中的变化是一致的,亦能提供IB所能提供的超声组织特征信息,且所用“定量仪”价格低廉,易于普及推广,不失为一简便易行的临床心脏超声组织定征方法。
本课题为重庆市重点科研攻关项目
作者简介:冉海涛:硕士研究生
王志刚:导师
参考文献
1 徐智章.两维彩阶显示在理论与应用中的研讨.中医学会首届彩阶超声诊断学术论文汇编,1992,1
, 百拇医药
2 Madaras EI,Barzilai B,Perez JE,et al.Changes in myocardial backscatter throughout the cardiac cycle.Ultrasonic Imaging.1983,5:229~239
3 Naito J,Masuyams T,Mano T,et al.Influence of preload,afterload,and contractility on myocardial ultrasonic tissue characterization with integrated backscatter.Ultrasound in Med & Biol 1996,22(3):305~312
4 Rijsterborch H,Van Der Steen,Krams,et al.The relationship between myocardial integrated backscatter,perfusion pressure and wall thickness during isvolumic contraction:An isolated pig heart study.Ultrasoud in Med & Biol 1996,22(1):43~52
, 百拇医药
5 O'Brein PD,OBrien WD,Rhyne TL.et al.Relation of ultrasonic backscatter and acoustic propagation properties to myofibrillar length and myocardial thickness.Circulation 1995,1(91):171~175
6 Naito J,Masuyama T,Tanouchi J,et al.Analysis of transmural trend of myocardial integrated ultrasonic backscatter for the differentiation of hypertrophic cardiomyopathy and ventricular hypertrophy due to hypertension.J Am Coll Cardiol 1994,24:517~524
, 百拇医药
7 Masuyama T,Goar,Terrence L,et al.Serial measurement of integrated ultrasonic backscatter in human allografts for the recognition of acute rejection.Circulation 1990,81:829~839
8 Perez JE,Mc Gill JB,Santiago JV,et al.Abnormal myocardial acoustic properties in diabetic patients and their correlation with the severity of disease.J Am Coll Cardiol 1992,19:1154~1162
9 Lung-Chun Lin,Chau-Chung Wu,Yi-Lwun Ho,et al.Ultrasonic tissue characterization for coronary care unit patient with acute myocardial infarction.Ultrasound in Med & Biol 1998,2(24):187~196
(1999-05-31收稿), http://www.100md.com