X光图象复原逆滤波方法的研究
![]() |
![]() |
![]() |
摘要:研究图象模糊的光学过程、逆滤波原理和图象复原的方法,并结合X光照相底片的模糊因素讨论改善图象复原效果的途径。
关键词:X光;图象;逆滤波;方法
1 图象模糊的光学过程及逆滤波复原的原理
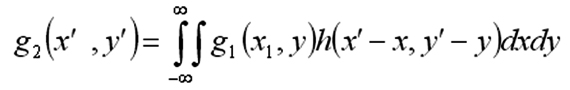
在线性位移不变条件下,一个成象系统的成象过程可用一个二维卷积来描述[1]。为简单,我们不妨设此系统的放大率为1,并且不考虑噪声
(1)
或g2=g1*h
这里,g2(xˊ,yˊ) 是像平面光强分布函数,即模糊图象,(g1(x2,y)为物平面强度分布函数,即理想的、没有退化的图象,h(xˊ-x,yˊ-y)为光源系统的点扩散函数。将(1)式进行傅里叶变换,得
, 百拇医药
G2(u,v)=G1(u,v)•H(u,v)(2)
u,v称空间频率[2],G2、G1分别为g2、g1的傅里叶变换,在物理上,可以理解为频谱。H(u,v)称为传递函数。传递函数是表征传输系统的频率响应特性,它是由系统本身和外界条件(如象移,离焦等)所决定的。还可将H(u,v)理解为模糊函数。因为,在通常情况下
即H(u,v)≠const
G2≠cG1
(c=const)
g2≠cg1
, http://www.100md.com
象存在失真,当G2偏离G1很多时,g2就不能忠实地反映原来目标g1,于是,象就变模糊了。
为使象复原,通常采取逆滤波法,选择空间逆滤波器的振幅透过率
T(u,v)=1/H(u,v)(3)
由(2)式和(3)式,得
T(u,v)G2(u,v)T(u,v)H(u,v)=G1(u,v)
即G1(u,v)=G2(u,v)/H(u,v)(4)
对(4)式再进行傅里叶变换即使象复原。
, http://www.100md.com
实际上,G2和G1还不能完全相等。G2和G1近似的愈好,则认为复原的愈好。
2模糊图象逆滤波复原方法
(1)光学方法:图(1)是逆滤波实验装置的光路图[1]。相干光源采用He-Ne激光器,P1为物面,一般放干板,P2为滤波面,放滤波器,P3为输出面,得复原象。L1,L2为透镜,皆用来作傅里叶变换,f为透镜焦距。由于激光输出光束较窄,为使物体照射均匀,在激光器后,加了一扩展器,
图(1)逆滤波实验光路
适当控制胶片和干板的r值,可使干板的透过率与胶片象相同,即有:
, 百拇医药
g0(x1,y1)=kg2
为干板透过率,g2为胶片模糊象,k为常数。g0经L1傅里叶变换后,在P2频谱面上,有:
G0kG2=kG1(u,v)•H(u,v)
在P2处,放一逆滤波器,其滤波函数为
T(u,v)=1/H(u,v)
则在P2面后得复原的频谱
Gˊ0(u,v)=G0(u,v)•T(u,v)=kG1(u,v)H(u,v)•T(u,v)=kG1(u,v)(5)
, http://www.100md.com
于是经L2后,象复原。
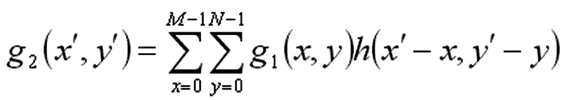
(2)计算机方法:对(1)中物平面强度分布函数g1(x,y)和光源系统的点扩散函数 h(xˊ-x,yˊ-y)均匀采样就可以得到离散的模糊图象的数学模型
(6)
式中xˊ=0,1,2,∧,M-1, yˊ=0,1,2,∧,N-1
逆滤波复原过程可归纳如下[3]:
(1)对模糊图象 g2 (xˊ,yˊ)作二维离散傅里叶变换,得到G2(u,v);
(2)计算系统点扩散函数h(x,y,xˊ,yˊ) 的二维离散傅里叶变换,得到H(u,v);
, 百拇医药
(3)按G1(u,v)=G2(u,v)/H(u,v)计算G1(u,v);
(4)计算G1(u,v)的逆傅里叶变换,得到没有退化的图象 。
若噪声为零,则采用逆滤波复原法能完全再现原图象。
3 X光照相底片的模糊因素及改善图象复原效果的途径
目前,普遍认为,对物体进行X光照相,主要存在下面四种模糊因素:(1)由于物体相对X光源运动而造成运动模糊;(2)X光成象系统的离焦模糊。现在采用的X光源—W针的直径都在几个毫米的数量级,离焦是很严重的。(3)散射效应。我们知道,X光与物质相互作用时,当光子能量为1MeV左右时,主要作用应为康普顿效应,此时光子主要与原子中的电子发生相互作用,光子被散射。(4)颗粒度影响。这里主要指增感屏和底片颗粒度的影响。
, 百拇医药
当然,模糊因素是很多的。任何一个模糊因素,都可以贡献一个传递函数,也就是一个模糊函数。但我们总要抓主要矛盾,忽略次要矛盾,否则,我们对此复杂问题就无法进行处理。
若对运动物体进行X光照相,运动模糊与离焦模糊是同时存在的。其次,存在散射等模糊因素。在成象问题上,相对来说,散射模糊是次要效应。设计滤波器时,主要应该考虑去除运动模糊与离焦模糊,这样有可能获得更好的复原效果。
4 结束语
逆滤波复原法的应用至少受二个条件的限制:①带宽限制。滤波器是有最佳带宽的。若信号占有的频带太大,采用逆滤波是不合适的。②噪声影响。以上讨论,我们没有考虑噪声。当信噪比足够大时,逆滤波是可行的。当信号淹没在噪声里时,要利用其它方法才能将图象复原。
参考文献
1母国光,战元令.光学[M].北京:人民教育出版社,1978363-417.
2姚啟钧.光学教程[M].北京:高等教育出版社,1981483-498.
3贾永红.计算机图象处理与分析[M].武汉:武汉大学出版社,2002 84-99., 百拇医药(马天义)


